Simplified Data Encryption Standard (S-DES) is a simple version of the DES Algorithm. It is similar to the DES algorithm but is a smaller algorithm and has fewer parameters than DES. It was made for educational purposes so that understanding DES would become simpler. It is a block cipher that takes a block of plain text and converts it into ciphertext. It takes a block of 8 bit.
It is a symmetric key cipher i.e. they use the same key for both encryption and decryption. In this article, we are going to demonstrate key generation for s-des encryption and decryption algorithm. We take a random 10-bit key and produce two 8-bit keys which will be used for encryption and decryption.
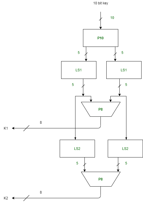
Key Generation Concept: In the key generation algorithm, we accept the 10-bit key and convert it into two 8 bit keys. This key is shared between both sender and receiver.

In the key generation, we use three functions:
1. Permutation P10

2. Permutation P8

3. Left Shift

Step 1: We accepted a 10-bit key and permuted the bits by putting them in the P10 table.
Key = 1 0 1 0 0 0 0 0 1 0
(k1, k2, k3, k4, k5, k6, k7, k8, k9, k10) = (1, 0, 1, 0, 0, 0, 0, 0, 1, 0)
P10 Permutation is: P10(k1, k2, k3, k4, k5, k6, k7, k8, k9, k10) = (k3, k5, k2, k7, k4, k10, k1, k9, k8, k6)
After P10, we get 1 0 0 0 0 0 1 1 0 0
Step 2: We divide the key into 2 halves of 5-bit each.
l=1 0 0 0 0, r=0 1 1 0 0
Step 3: Now we apply one bit left-shift on each key.
l = 0 0 0 0 1, r = 1 1 0 0 0
Step 4: Combine both keys after step 3 and permute the bits by putting them in the P8 table. The output of the given table is the first key K1.
After LS-1 combined, we get 0 0 0 0 1 1 1 0 0 0
P8 permutation is: P8(k1, k2, k3, k4, k5, k6, k7, k8, k9, k10) = (k6, k3, k7, k4, k8, k5, k10, k9)
After P8, we get Key-1 : 1 0 1 0 0 1 0 0
Step 5: The output obtained from step 3 i.e. 2 halves after one bit left shift should again undergo the process of two-bit left shift.
Step 3 output - l = 0 0 0 0 1, r = 1 1 0 0 0
After two bit shift - l = 0 0 1 0 0, r = 0 0 0 1 1
Step 6: Combine the 2 halves obtained from step 5 and permute them by putting them in the P8 table. The output of the given table is the second key K2.
After LS-2 combined = 0 0 1 0 0 0 0 0 1 1
P8 permutation is: P8(k1, k2, k3, k4, k5, k6, k7, k8, k9, k10) = (k6, k3, k7, k4, k8, k5, k10, k9)
After P8, we get Key-2 : 0 1 0 0 0 0 1 1
Final Output:
Key-1 is: 1 0 1 0 0 1 0 0
Key-2 is: 0 1 0 0 0 0 1 1
회사에서 Cryptography 관련된 자료를 다시 공부하라고 넘겨주셧는데 자료가 굉장히 불친절하게 되어 있었다. 정확하게는 왜때문에 어떤 과정이 나오는지에 대한 부분이 잘 안나와 있기 때문이었다.
Simple DES 라서 사실상 쓰이는 일은 없겠지만 (물론 있을 수도 있고), 오랜만에 봐서 빡쳐가지고 찾아보고 가져왔다.
이건 Key Generation 을 하는 딱 1부 파트이기 때문에, 실제 Cipher Suite 인 Cipher 는 다음 글에
'Cryptography' 카테고리의 다른 글
| Meet-in-the-middle attack (0) | 2024.02.29 |
|---|---|
| Block Cipher modes of Operation (31) | 2024.02.29 |
| Block Cipher Design Principles (0) | 2024.02.29 |
| DES (Data Encryption Standard) (0) | 2024.02.28 |
| Simplified Data Encryption Standard | Set 2 (0) | 2024.02.28 |